反滲透阻垢劑什么用?反滲透阻垢劑生產廠家(反滲透阻垢劑的作用和原理)
反滲透阻垢劑是一種用于水處理的化學劑,可以阻止反滲透膜表面的碳酸鹽礦物質沉積,從而保持反滲透的高效率和長壽命。它通常用于海水淡化、污水處理、電子工業以及飲用水和工業用途中的純化和去離子過程中。反滲透阻...
減水劑屬于什么行業類別?減水劑生產廠家(減水劑屬于什么行業范疇)
減水劑屬于建筑材料行業類別減水劑是一種混凝土添加劑,通常是有機物或無機物的高分子化合物。減水劑可以用來控制混凝土的流動性,降低混凝土的水灰比,并且可以提高混凝土的強度和耐久性。減水劑的功能和應用領域1...
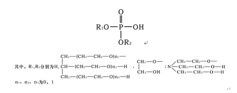
PAPE PAE PAPE生產廠家 PAPE價格 多元醇磷酸酯
結構式一、性能與用途多元醇磷酸酯是一種新型的水處理藥劑;具有良好的阻垢和緩蝕性能。由于分子中引入了多個 聚氧乙烯基,不僅提高了緩蝕性能,也提高了對鈣垢的阻垢和泥沙的分散能力。對國內現有阻垢劑...

