寧晉縣開展2023年化工園區應急救援隊處置危化品泄漏事故應急拉練活動
為適應化工企業多而應急救援力量不足的問題,寧晉縣應急管理局從各化工企業抽調精干力量,組建了兩支危化品專業處置應急救援隊伍。5月18日,在寧晉縣徐家河鄉河北三川化工有限公司開展了化工園區救援隊危化品泄漏...
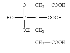
PBTCA PBTC PBTCA廠家 PBTCA價格 2-膦酸丁烷-1,2,4-三羧酸
CAS No. 37971-36-1 分子式 C7H11O9P 相對分子質量:270.13結構式一、性能與用途PBTCA含磷量低,由于它具有膦酸和羧酸的結構特性,使其具有...

