atmp
ATMP ATMP生產廠家 氨基三甲叉膦酸
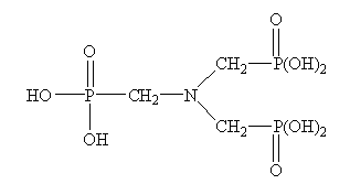
CAS No. 6419-19-8 分子式 N(CH2PO3H2)3 相對分子質量:299.05
結構式
一、性能與用途
ATMP(氨基三甲叉膦酸)具有良好的螯合、低限抑制及晶格畸變作用。可阻止水中成垢鹽類形成水垢,特別是碳酸鈣垢的形成。本產品在水中化學性質穩定,不易水解。在水中濃度較高時,有良好的緩蝕效果。
ATMP(氨基三甲叉膦酸)用于火力發電廠、煉油廠的循環冷卻水、油田回注水系統。可以起到減少金屬設備或管路腐蝕和結垢的作用。本產品在紡織印染等行業用作金屬離子螯合劑,也可用于金屬表面處理劑等。
ATMP(氨基三甲叉膦酸)固體為結晶性粉末,易溶于水,易吸潮,易于運輸和使用,尤其適用于冬季嚴寒地區。
二、技術指標
| 項 目 | 指 標 | |
| 符合HG/T2841-2005 | 符合HG/T2840-2010 | |
| 外 觀 | 無色或微黃色透明液體 | 白色顆粒狀固體 |
| 活性組分(以ATMP計) % ≥ | 50.0 | 93.0 |
| 氨基三甲叉膦酸含量 % ≥ | 40.0 | 88.0 |
| 亞磷酸(以PO33-計) % ≤ | 3.5 | 3.0 |
| 磷酸(以PO43-計) % ≤ | 0.8 | 0.8 |
| 氯化物(以Cl-計) % ≤ | 2.0 | 1.0 |
| 鐵(以Fe2+計)含量mg/L ≤ | 20.0 | 20.0 |
| 密度(20℃)g/cm3 ≥ | 1.30 | —— |
| pH(1%水溶液) ≤ | 2.0 | 2.0 |
三、使用方法
ATMP常與其它有機膦酸、聚羧酸或鹽等復配成有機水處理劑,用于各種不同水質條件下的循環冷卻水系統。用量以1~20mg/L為佳;作緩蝕劑使用時,用量為20~60mg/L。
四、包裝與貯存
ATMP(氨基三甲叉膦酸)液體用塑料桶包裝,每桶30kg或250kg;ATMP(氨基三甲叉膦酸)固體用內襯聚乙烯袋的塑料編織袋包裝,每袋凈重25kg,也可根據用戶需要確定。貯于室內陰涼通風處,防潮、嚴防曝曬,貯存期十個月。
五、安全防護
ATMP為酸性,操作時注意勞動保護,應避免與皮膚、眼睛等接觸,接觸后應立即用大量清水沖洗。
